Next Previous Start

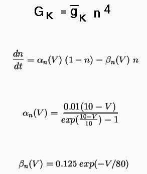
Hodgkin-Huxley Equations

The GENESIS "setupalpha" form: (A + B*Vm)/(C + exp((Vm + D)/F)